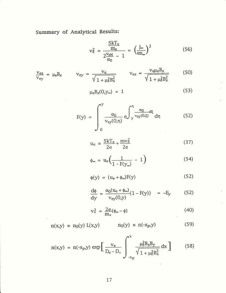
Magnetron Cathode, 1995 #17 fl Published April 4, 2019 at 2547 × 3300 in DC Planar Magnetron Cathode 2D Fluid Model