Skip to primary content
manuelgarciajr
energy, nature, society
Search
Main menu
Home
About
Favorite Writings
Publication History
Videos
Image navigation
← Previous
Next →
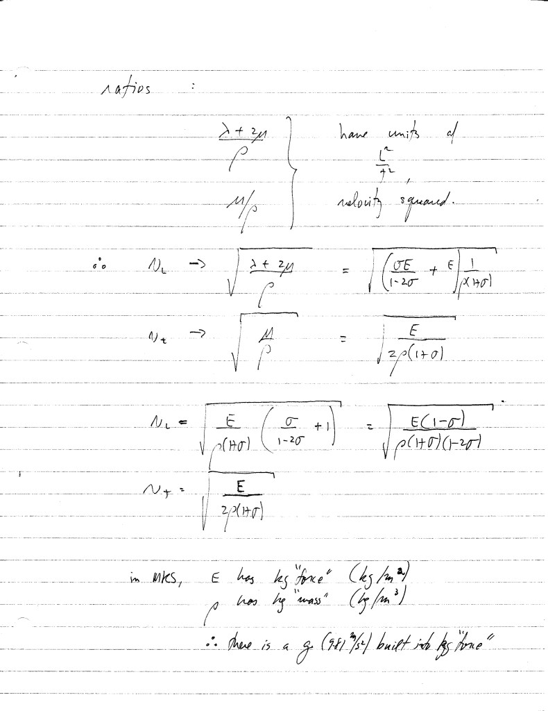
MG,Jr 9-11 16
Published
September 5, 2019
at
2545 × 3300
in
MG,Jr 9-11 Physics Reports Originals
Leave a comment
Cancel reply
Δ
Comment
Subscribe
Subscribed
manuelgarciajr
Join 269 other subscribers
Sign me up
Already have a WordPress.com account?
Log in now.
manuelgarciajr
Subscribe
Subscribed
Sign up
Log in
Copy shortlink
Report this content
View post in Reader
Manage subscriptions
Collapse this bar