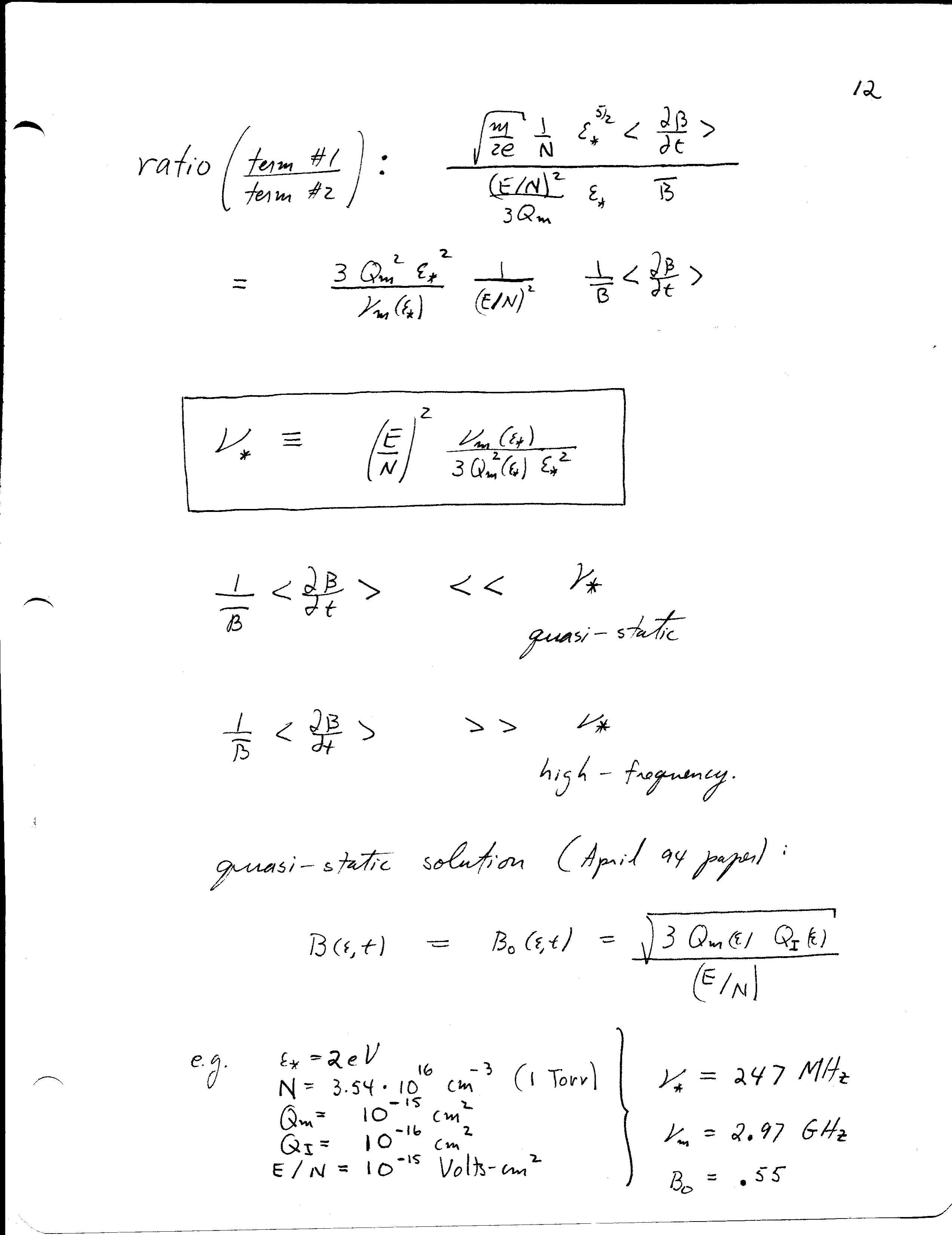
Boltzmann Electrons (t) 13 Published October 7, 2019 at 2545 × 3300 in Space & Time Dependent Boltzmann Distribution of Electrons in Gases