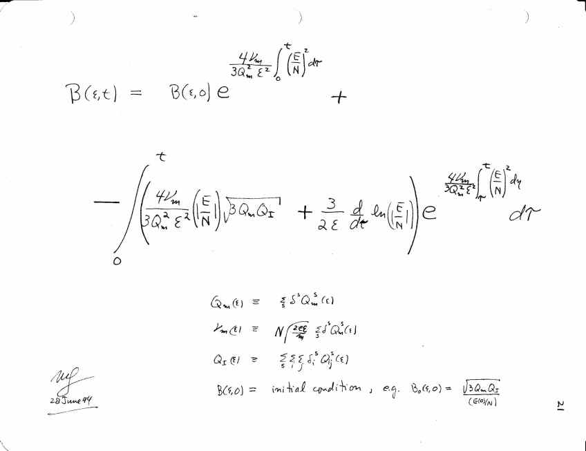
Boltzmann Electrons (t) 22 Published October 7, 2019 at 3300 × 2545 in Space & Time Dependent Boltzmann Distribution of Electrons in Gases