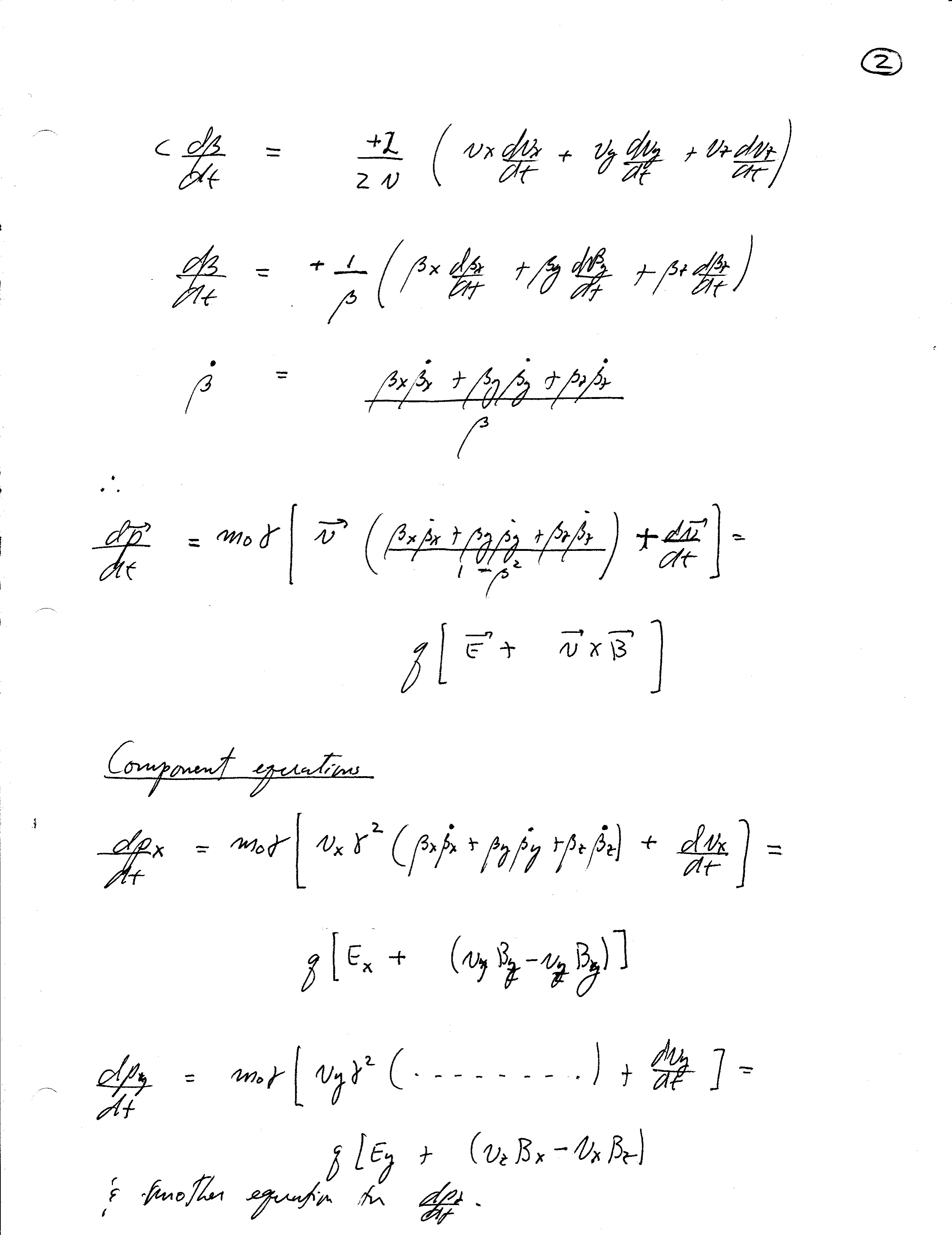
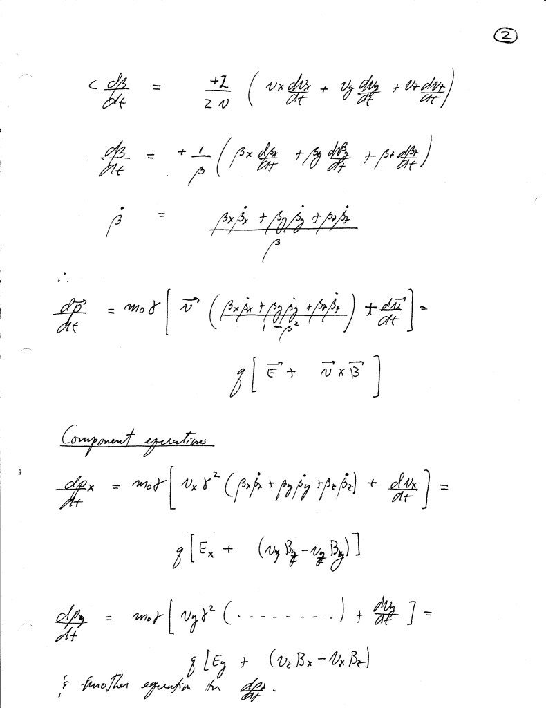
3D Electron Path, Cartesian 02 Published September 11, 2019 at 2545 × 3300 in 3D Electron Path in Cartesian Space with E and B fields