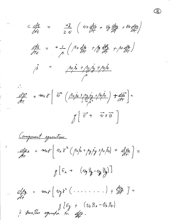
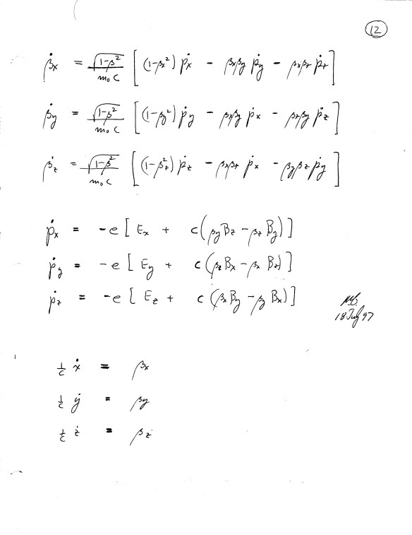
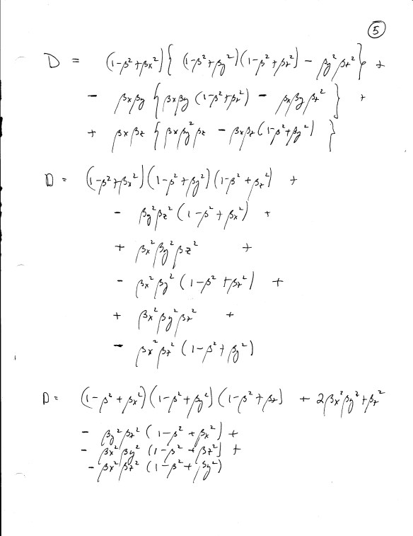
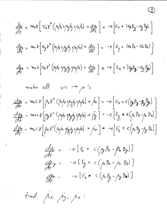
3D relativistic electron motion in cartesian space with E and B fields
The PDF file is available, above, and shown, below.
<><><><><><><>
3D relativistic electron motion in cartesian space with E and B fields
The PDF file is available, above, and shown, below.
<><><><><><><>